最新信息:恭喜育才外国语欧美部Z同学获取剑桥大学面试 Oct 02, 2021... 阅读更多信息
今年有很多学生和家长对美国签证的形势有诸多疑问和担忧。
尤其是7月初有部分媒体报道500多名中国理工科研究生被拒的消息,让大家更为担心。
这部分学生被美签证中心以不符合美国第212条(f)款及第10043号总统令为由拒签。
涉及到的国内学校为国防七子(北航、北京理工大学、哈尔滨工业大学、西北工业大学、哈尔滨工程大学、南京航空航天大学和南京理工大学)和北邮的学生。
除了这8所学校的学子外,其他国内的学校,不管是理工专业还是文商专业,签证都是不受影响的。
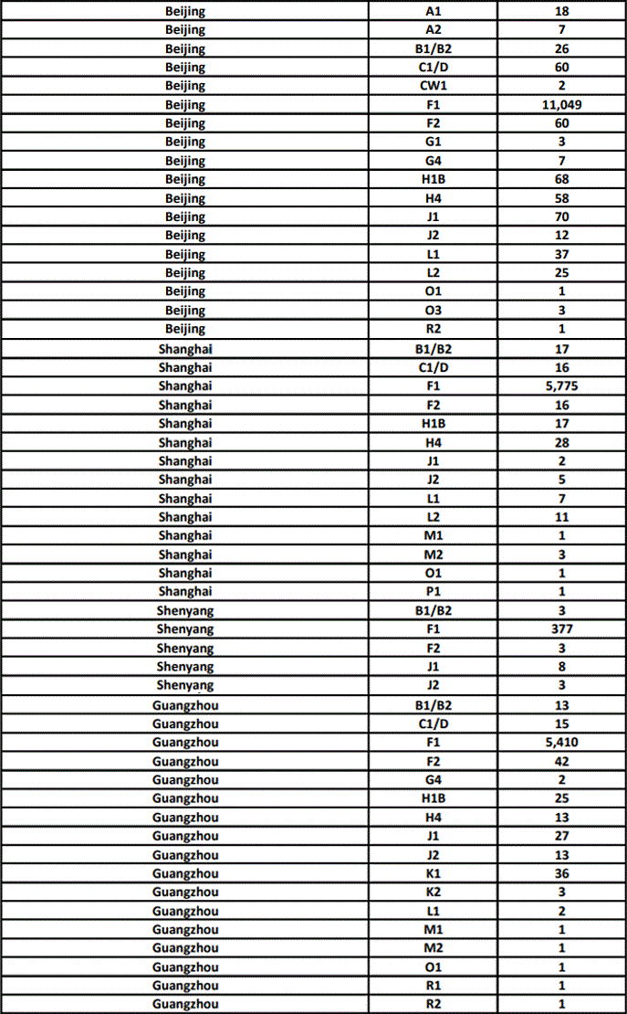
近期,美国国务院U.S. Department of State官网最新发布了2021年5月份中国学生拿到美国F1类签证的数据。
从数据中可以看出,今年5月份拿到美国F1类签证的学生比2019年5月份要多两千多个。(由于2020年疫情影响,美国签证没有开放,不具有可比性,所以我们跟疫情之前的2019年进行对比)
2021年5月份F1类签证发放数据:
北京
11049个
上海
5775个
沈阳
377个
广州
5410个
成都 已关闭
总计
22611个
*如果算上中国学生在其他国家签证的数据,总计是23066个
2021年5月份中国学生拿到F1签证的总数据
2019年5月份F1类签证发放数据:
6304个
上海 8911个
439个
2945个
成都
1561个
总计 20160个
*如果算上中国学生在其他国家签证的数据,总计是20871个。
2019年5月份中国学生拿到F1签证的总数据:
从发布的数据可以看出,2021年美国目前发放的学生签证数量比疫情之前的2019年同期还要多,虽然目前6月份的数据还没有出来,但是根据获签情况来推测,21年6月份的数据也会比2019年同期要多。
就像文章开头所讲到的,虽然受10043总统令的限制,国内部门学校的学生拿到了拒信,但是这部分学生毕竟是少数,占整个国内留学群体的比例比较小,而且美国大使馆也积极的配合处理中国学生的签证申请,所以今年的签证形势相对于往年来说变化不大,请大家更乐观积极的看待美国留学和美国签证的形势。
针对受10043影响的学生群体,美国高校也在为这些学生发声,来积极协助解决这个问题。通过美国Open Doors官网上最新发布的国际学生数量比例来看,中国留学生占美国国际学生的35%,是排名第二名印度的18%多将近一倍,中国留学生越来越成为美国高校学生的重要组成部分。
同时,国内不管是官方还是个人群体,大家也在群策群力,发挥自己的能量,来力争10043总统令的取消,比如外交部就专门针对这个问题表达了抗议。同时被拒的八所学校学子也积极通过媒体发声来寻找解决的方法。
虽然疫情让我们2020年无法获签赴美,但是随着2021年5月4日,美国签证的开放,我们的赴美之路一定会越来越顺利。
事实数据也证明了,美国开放签证没有只落实在纸面上,而是真正转化为一个个的签证,而且比疫情之前发放的数量更多。
订阅我们并免费获取留学的最新新闻和文章