最新信息:恭喜育才外国语欧美部Z同学获取剑桥大学面试 Oct 02, 2021... 阅读更多信息
小伙伴们拿到签证之后,就要准备赴法了,在此之前我们一起了解清楚都要办理哪些手续和做哪些准备。
法国出入境新政
7月23日,法国又对国际旅行做出了最新的调整。
绿色地区被认为是“安全地区”;橙色地区的病毒依然存在但已得到控制,且并没有令人担忧的变种病毒;红色地区的病毒还十分活跃。
橙色地区包括:不在“绿色地区”及“红色地区”名单内的国家,包括中国。
来自该地区的人入境法国:
已接种疫苗人群提供“接种证明”即可入境,无需入境理由,但抵达法国后需自我隔离7天。
未接种疫苗人群需提供72小时之内的核酸阴性证明,或是48小时之内的抗原检测证明,此外还需要有“令人信服的理由”。抵达法国后,还需接受抗原测试并自我隔离7天。
注意啦!由于法国目前还不承认国产疫苗,所以大家要去做PCR检测(72小时内)或者抗原检测TAG(48小时内)。
截至目前,欧盟承认的疫苗接种证明包括:辉瑞、moderna、阿斯利康、强生。法国在17日宣布,承认印度生产的疫苗CovidSheild。也就是说,除了以上五种,接种其他疫苗的人群无法凭接种证明入境法国。
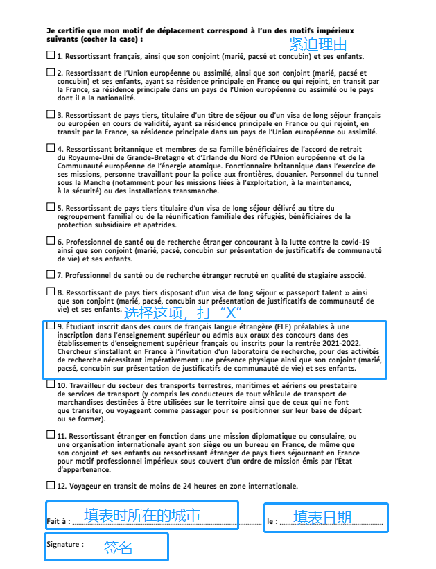
入境法国填写声明
英文版下载网址:https://www.interieur.gouv.fr/Actualites/L-actu-du-Ministere/Certificate-of-international-travel
法文版下载网站:https://www.interieur.gouv.fr/Actualites/L-actu-du-Ministere/Attestation-de-deplacement-et-de-voyage
未接种人员:需填写旅行表格并标注“紧迫理由”,并在抵法后自行隔离7天。
入境法国证明
已接种疫苗:只需要出示疫苗接种情况证明、没有感染covid-19的症状也没有接触covid-19确诊病例的宣誓声明。
未接种疫苗:
在登机时出示在72小时内的PCR测试阴性或48小时内的抗原测试阴性。
如果是转机的旅行,则考虑个航班的出发时间。12岁以下的儿童可免于检测。
出示没有感染covid-19的症状也没有接触过covid-19确诊病例的声明。
在抵达法国后接受抗原测试或生物检查以及自行隔离七天。
承诺在隔离期结束时接受生物病毒学筛查(PCR)测试。
对自己健康状况和遵守隔离的声明
TousAntiCovid
入境法国后,建议尽快下载TousAntiCovid手机应用,并按照法国防疫要求做好个人防护,包括佩戴口罩、保持社交距离等。
这是一款法国政府推出的防疫手机APP,支持IOS和安卓系统。相当于中国的健康码,里面除了有最新的疫情信息,还有疫苗证书二维码。
”健康通行证“ Pass Sanitaire
6月9日法国进入第三阶段解封,“健康通行证”上线!
法国总理发表讲话:7月21日起,法国正式开始实施防疫新政!出入境新政上线!
要获得健康通行证,需要以下三种证明其中之一:
提交48小时之内的阴性证明
核酸检测(PCR)和抗原检测(antigéniques)都是可以的,但该证明只在48小时以内有效。
(若需要离开法国,72小时之内的检测结果即可)
完整的疫苗接种证明
欧盟目前只承认辉瑞、moderna、阿斯利康和强生四种疫苗(法国在17日宣布,承认印度生产的疫苗CovidSheild),接种了其它疫苗的人群依然算是“未接种人群”。
疫苗接种证明并不是在第二剂疫苗接种完成之后立刻就生效的!接种辉瑞、moderna和阿斯利康的生效时间为7天之后;强生疫苗为28天之后。如果还未达到时效,疫苗接种证明是不能申领健康通行证的。
曾患新冠但现已痊愈
曾经得过新冠,且确诊时间在2周之前,6个月之内的人群只需上传相关证明即可获得通行证。
以上三个证明的纸质版上会有一个二维码,这个二维码就是纸质版的“健康通行证”。
若想获得电子版,可以前往ameli下载疫苗接种证明,或是si-dep下载检测证明以及痊愈证明,扫描至防疫APP TousAntiCovid上即可。
接种证明以及检测阴性证明会有两个二维码,标注了“2D-DOC”字样的二维码是可以直接作为“健康通行证”使用的,这也就是纸质版的通行证。
上传证明之后,用户只需要填写姓名以及出生日期,在进行验证之后就可以获得健康通行证。为了防止个人信息泄露,用户无法截图通行证的页面。
电子版疫苗接种证明
Attestation de Vaccination contre la Covid-19
前段时间,法国健康保险开通了一个网站,允许所有接种过疫苗的公民在线下载自己的疫苗接种证明。
可以选择使用自己的FranceConnect自动登录账户:
无论是只接种了一针还是完成了两针的接种,都可以下载一个电子版的证明文件,该证明会根据你的疫苗接种情况进行实时更新。
可以打印纸质版或下载电子版,也可以通过扫描二维码的方式将它添加到防疫APP “TousAntiCovid” 的Mon carnet当中。
在法国接种疫苗
在法国预约接种疫苗的途径有很多种,一般可以通过以下网站进行预约:
VitaMaDose
https://vitemadose.covidtracker.fr/
在“Localisation”输入地址之后,就可以看到所有的可预约信息,包括时间、联系方式、打哪一种疫苗等。选中之后页面就会跳转到相应的预约平台。
Covidliste
只需要填写相关信息,网站就会自动搜索附近依然可约的接种点。如果目前没有可约的接种点,Covidliste将会把你加入“等待名单”,一旦有空位就会发消息提醒。
https://www.covidliste.com/
接种间隔时间为21天(3周)至49天(7周)
留法待办清单
注意啦!
手机号(不是手机卡,是手机号!因为可以保号转网,一定要有一个能联系到你的手机号,办什么材料都需要填写手机号!手机卡一般都是第二月才能拿到)
(有小伙伴想着先用WIFI不就好了,那你就真的太高估法国的WIFI了,经常断网的体验简直了...)
买住房保险(住CROUS可以去了再买,自己租房的,签合同之前就要买好)
办入住,拿到入住证明 Attestation d’habitation
办银行卡(需要入住证明和手机号),拿到RIB(银行卡要过一阵才能寄给你实体卡,但是当天就会给你一个RIB,拿到这个可以办理一些需要交钱定期扣款的业务)
买CVEC,然后去学校注册(线下/线上),拿到注册证明(证明你是学生才能享受一些学生优惠价格,比如学生公交卡)
办理学生公交卡(需要学校注册证明和RIB)
办理医保卡
线上办理OFII续居留
申请CAF房补
最重要的几项材料就是蓝色部分!手机号、入住证明、银行卡RIB以及学校注册证明!
订阅我们并免费获取留学的最新新闻和文章